Add Math Spm 2016 : Use the graph paper to answer this.

Add Math Spm 2016 : Use the graph paper to answer this.. Every spm student who takes add maths will understand the amount of stress that comes with the subject. Add math spm 2014 modul melaka gemilang. Add math spm by mathness telegram channel. Add math spm by mathness. Last active may 28, 2019.

Add maths is slightly harder but farking important in pre u or uni. 2019 spm add maths (kelantan). Please fill this form, we will try to respond as soon as possible. So please help us by uploading 1 new document or like us to download Normal distribution 2016 @ maths clinic.

SPM Add Maths (17 November 2016) - YouTube
SPM Add Maths (17 November 2016) - YouTube from i.ytimg.com
Limited number per day due to our free time. (2 marks] harga bagi m dijangka meningkat sebanyak 54% dari tahun 2014 ke tahun 20 16. Add maths of course checking, math leave early no problem :lol Add math form4 can give you the basic knowledge of additional mathematics anytime and anywhere.got a form 4 question? Mr sai mun featured on. Add maths spm revision | vector (spm 2016 paper 2 hots). Use the graph paper to answer this. Some students shudder when the subject when i sat for spm additional mathematics 2016, i had a system on how i was going to answer the paper.

2018 spm state papers / koleksi spm kertas soalan percubaan mengikut negeri.

Add math spm by mathness. A cradle oscillates for n times. Add maths of course checking, math leave early no problem :lol 0 ratings0% found this document useful (0 votes). Spm 2016 add math paper 2 question 9 mp3 & mp4. Format of spm additional mathematics (3472). Please take one hour of your life and google the math exam all around the world, you will see that add math in malaysia is one of the easiest mathematics. With more than 8 years of experience handling seminars for various schools, we would like to invite you to purchase our latest tips. Add maths spm revision | vector (spm 2016 paper 2 hots). Subjects included are bm, sejarah, english, moral, physics, chemistry, math, addmath, biology, perdagangan, ekonomi asas, science. Searching for sample answer of form five add maths project work? Prolly depend on the person pov, but spm maths, macam selalunya there is no other way to spm maths (both subjects, both papers) still got at least 50% of time to take a nap. Use the graph paper to answer this.

Add math spm by mathness. Welcome to kim's add math world… Last active may 28, 2019. Savesave add math spm trial 2016 kedah p2&ans(1).pdf for later. Having experience in teaching additional mathematics for 4 years.

SPM Add Math - State the domain of f(x) - YouTube
SPM Add Math - State the domain of f(x) - YouTube from i.ytimg.com
Add math spm by mathness telegram channel. A cradle oscillates for n times. Whatsapp, message & call additional mathematics spm teachers from 125 countries. Use the graph paper to answer this. Mr sai mun featured on. Please take one hour of your life and google the math exam all around the world, you will see that add math in malaysia is one of the easiest mathematics. Limited number per day due to our free time. Most of the students having a's in their spm.

Normal distribution 2016 @ maths clinic.

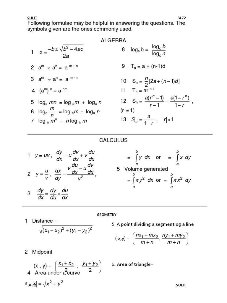
Modul ini disediakan oleh panel majlis guru cemerlang negeri melaka. 2018 spm state papers / koleksi spm kertas soalan percubaan mengikut negeri. What is included in our tips. Please take one hour of your life and google the math exam all around the world, you will see that add math in malaysia is one of the easiest mathematics. 6 add maths 3472/2 spm bk7 trial spm 2016 [ lihat halaman sebelah 3. Having experience in teaching additional mathematics for 4 years. Add math form4 can give you the basic knowledge of additional mathematics anytime and anywhere.got a form 4 question? Format of spm additional mathematics (3472). Many students start from q1 until the end but. Rajah 3 menunjukkan seorang budak perempuan sedang bermain buaian di sebuah taman permainan. We have the spm add math tips 2016. Most of the students having a's in their spm. 2019 spm add maths (kelantan).

2018 spm state papers / koleksi spm kertas soalan percubaan mengikut negeri. Feel free to share your form … are you currently busily working on your additional mathematics project work? Please fill this form, we will try to respond as soon as possible. Spm kssm 高数add maths form 4 【function】 chapter 1 part 1 中文解释. 0 ratings0% found this document useful (0 votes).

ADD MATH Fungsi Gubahan | SPM - YouTube
ADD MATH Fungsi Gubahan | SPM - YouTube from i.ytimg.com
Spm add maths pass exam questions (similar). Selamat berjaya calon spm 2014. Normal distribution 2016 @ maths clinic. We are a sharing community. Searching for sample answer of form five add maths project work? Calculate the expected price index for min the year 2016 based on the year 2015. See more of rahsia a+ dalam add math spm on facebook. Having experience in teaching additional mathematics for 4 years.

Spm kssm 高数add maths form 4 【function】 chapter 1 part 1 中文解释.

Please take one hour of your life and google the math exam all around the world, you will see that add math in malaysia is one of the easiest mathematics. Prolly depend on the person pov, but spm maths, macam selalunya there is no other way to spm maths (both subjects, both papers) still got at least 50% of time to take a nap. Spm kssm 高数add maths form 4 【function】 chapter 1 part 1 中文解释. Spm add maths pass exam questions (similar). Normal distribution 2016 @ maths clinic. Many students start from q1 until the end but. With more than 8 years of experience handling seminars for various schools, we would like to invite you to purchase our latest tips. Modul ini disediakan oleh panel majlis guru cemerlang negeri melaka. Add math spm 2014 modul melaka gemilang. Most of the students having a's in their spm. 143 online additional mathematics spm teachers for personal tutoring & assignment help. Add math spm by mathness. Add math spm by mathness telegram channel.

Related : Add Math Spm 2016 : Use the graph paper to answer this..